Minutes
Minutes are in draft form until approved by the Council
- 2023.09.05. minutes.pdf
- 2023.07.04. minutes.pdf
- 2023.06.06. minutes.pdf
- 2023.05.15. minutes.pdf
- 2023.04.04. minutes.pdf
- 2023.04.04. APM minutes.pdf
- 2023.03.07. minutes.pdf
- 2023.01.10. minutes.pdf
- 2022.12.06. minutes.pdf
- 2022.11.08. minutes.docx
- 2022.10.04. minutes.doc
- 2022.09.06. minutes.doc
- 2022.07.12. minutes.doc
- 2022.06.07. minutes.doc
- 2022.05.03. minutes.doc
Police & Crime Commissioner Reports
- September 2021 Newsletter external FINAL.pdf
- OPCC_Newsletter_October__November_2019_-_External.pdf
- OPCC_Newsletter_December_2019_-_External.pdf
- OPCC Newsletter March 2020 - External - version 2.pdf
- OPCC Newsletter February 2020 - External- Final Version.pdf
- OPCC Newsletter April 2020 - External v2.0.pdf
- OPCC Newsletter - November 2020.pdf
- OPCC Newsletter - May 2021.pdf
- OPCC Newsletter - June 2021 final.pdf
- OPCC Newsletter - External - March 2021.pdf
- OPCC Newsletter - April 2021 - EXTERNAL.pdf
- October 2021 Newsletter external FINAL.pdf
- November 2021 Newsletter external.pdf
- July 2021 Newsletter external.pdf
Council Documents
Agendas
- 2023.04.04. agenda.pdf
- 2023.01.10. agenda.pdf
- Agenda 2023.pdf
- Agenda 2023.pdf
- 2023.03.07. agenda.pdf
- 2022.12.06. agenda.pdf
- 2022.11.08. agenda.doc
- 2022.10.04. agenda.doc
- 2022.09.06. agenda.doc
- 2022.07.12. agenda.doc
- 2022.07.05. agenda.doc
- 2022.06.07. agenda.doc
- 2022.05.03. agenda.doc
- 2022.03.01. agenda.doc
- Agenda 2022.doc
Financial Documents
- 2019-20 audit Completion Notice.docx
- 2019-20 AGAR - Oakley Parish Council.pdf
- 2019-20 Notice of Electors Rights.pdf
- 2019-20 accounts summary.xls
- 2019-20_payments_over_100.pdf
- Oakley_Parish_Council_-_Employers_Liability_Certificate_2019.pdf
- Oakley_Parish_Council_-_AGAR_Part_3_2018-19_-_AUDITED.pdf
- 2018-19_payments_over_100.pdf
- 2018-19_audit.pdf
- Oakley_Parish_Council_2017-18_audit.jpeg
- Completion_Notice.docx
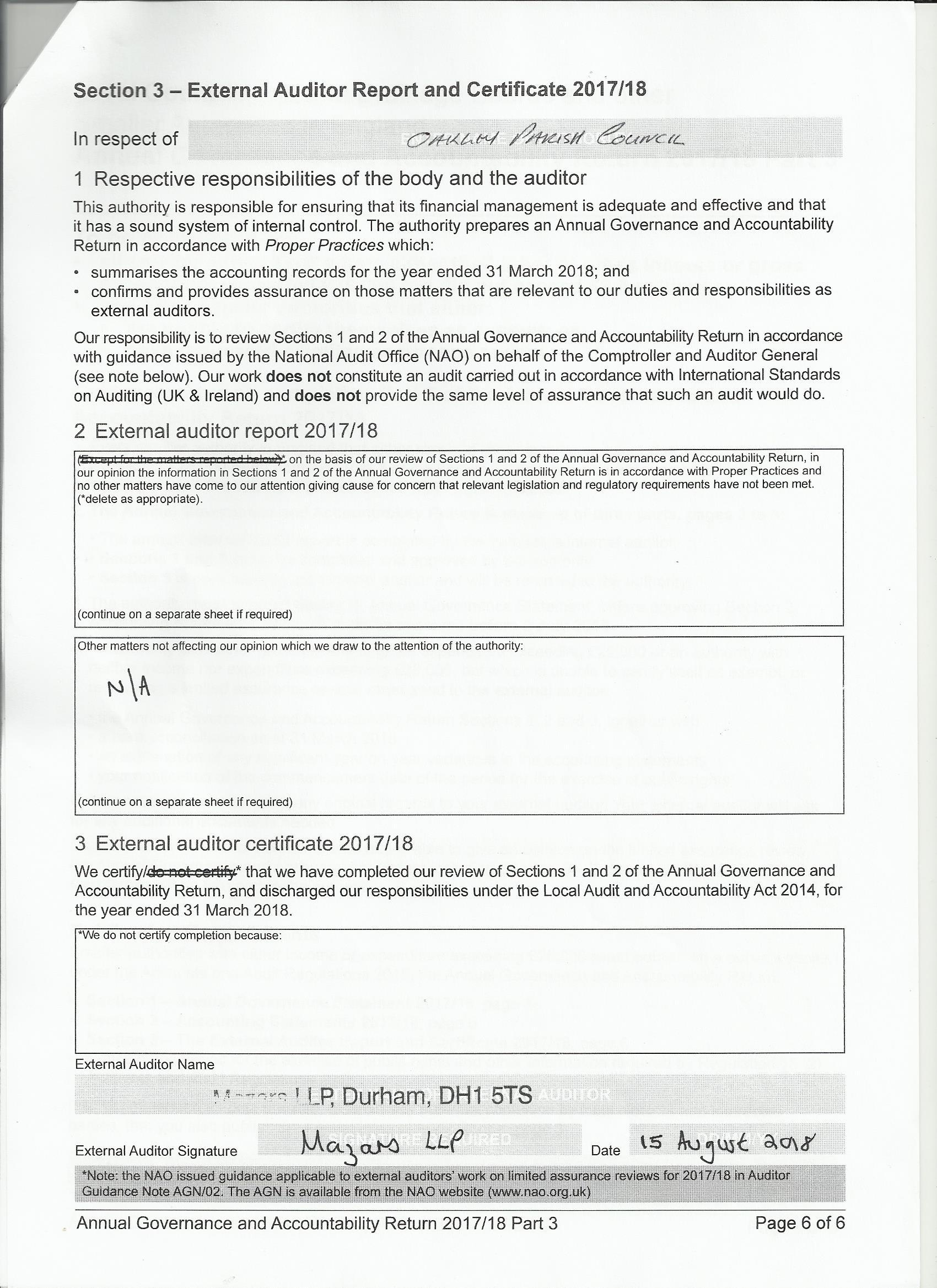
- 2017-18_Audit.pdf
- 2017-18_payments_over_500.xlsx
- 2017-18_Oakley_Asset_Register_audit.xls
- 2017-18_accounts_summary.xls
- ← Previous
- 1
- 2
- 3 (current)
- 4
- Next →
Meetings (Digital Recordings)
Policy Documents
- Complaints_Procedure.doc
- Document_Retention_and_Disposal_Policy.doc
- Equality__Diversity_Policy.doc
- Health_and_Safety_at_Work_Model_Policy
- Information__Data_Protection_Policy_2018.doc
- Oakley_Newsletter_Advertising_Policy_and_Fees.docx
- Privacy_Notice.pdf
- Removable_Media_Policy.doc
- Social_Media_Policy.doc
- 2020 Grievance Policy.docx
- Tree Policy
- 2020 Disciplinary Policy.docx
- Training Policy.docx
- Community Engagement Strategy.docx
- Website Accessibility Standard Policy.docx

